지능 에이전트 : 센서를 통해 환경을 지각하고 액추에이터를 통해 환경에 행동을 가한다고 볼 수 있는 모든 것

: 비전 프로그램을 비전 에이전트로 확장하려면 적절한 그래픽 사용자 인터페이스(GIU)를 추가해야 함.
- 이 책의 파이썬 GIU프로그래밍은 PyQt 라이브러리로 구현
| [프로그램6-1] (비전 프로그래밍 예시1) ~ class BeepSound(QmainWindow) # BeepSound 클래스 선언. #QmainWindow 클래스를 상속받겠다는 뜻 def __init__(self) #BeepSound 클래스로 객체를 생성하면 자동으로 실행되는 생성자 함수 정의 ~ shortBeepButten.clicked.connect(self.shortBeepFunction) #콜백 함수 지정 #shortBeepButten 버튼이 눌리면 shortBeepFunction 실행한다는 뜻 win=BeepSound() #BeepSound 클래스의 객체 생성 #위에 정의된 BeepSound 클래스의 생성자 함수 __init__이 자동으로 실행된다. |
| [프로그램 6-2] (비전 프로그래밍 예시2) captureButton.clicked.connect(self.captureFunction) #captureFunction을 captureButton의 콜백함수로 등록함. |
비전 에이전트 프로그래밍 과정
예시 1사용자가 영상파일을 선택할 수 있는 기능 구현 가능, 사용자가 원하는 만큼 과정 반복 가능
예시 2사용자가 영상 파일을 선택하여 해당 영상에서 표지판을 인식하고 결과를 보여줌
→ 환경과 상호작용을 강화하려면 동영상에서 인식할 수 있게 확장해야 함.아직 상용 제품의 가치를 가진 비전 에이전트가 아님.
예시 3여러 장의 영상을 주면 자동으로 파노라마 영상을 제작하는 switch 제작 비전 에이전트
- SIFT특징 이용하여 구현
예시 4필터를 이용하여 특수효과를 가진 영상
- 가우시안 필터로 컨볼루션을 수행하면 물체 경계를 포함하여 영상 전체가 흐릿해짐.
- 에지 보존 필터 : 물체 경계의 명암 대비를 유지하면서 다른 부분만 흐릿하게 만드는 필터
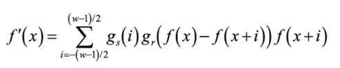
ex. 양방향 필터

: g’s(i)는i=0일 때 가장 크고, 0에서 멀어질수록 작아지는 가우시안 함수임.
: 그 뒤 가우시안 함수는 현재 화소의 값 x의 값 f(x)와 이웃 화소의 값 f(x+i)의 차이를 매개변수로 갖는데, 두 화소의 값이 같아 차이가 0이라면 g’r(0)이 되어 가장 큰 값을 갖고, 값이 큰 차이가 난다면 g’r값은 작아진다.
→ g’r함수로 인해 i에 해당하는 화소는 중앙 화소와 값이 많이 다를수록 낮은 가중치를 가짐.
- 서로 다른 물체에 속한 화소는 서로에게 영향력이 낮아져 에지를 잘 보존함
'Electronic Engeneering > Intelligent System' 카테고리의 다른 글
| [지능시스템] 03장. 영상 처리 (2) | 2024.08.29 |
|---|---|
| 마우스 클릭을 통한 실시간 전경 표시와 GrabCut 알고리즘 코드 분석 (1) | 2024.08.27 |
| [지능시스템] 08장. 컨볼루션 신경망 (0) | 2024.08.27 |
| [지능시스템] 07장. 비전 에이전트 (0) | 2024.08.27 |
| [지능 시스템] 05장. 지역 특징 (0) | 2024.08.26 |